Ferranti Effect

Ferranti Effect: What is it in Transmission Lines?

Introduction

In electrical engineering, the Ferranti effect is a fascinating phenomenon that often surprises those new to power system behavior. It occurs when the voltage at the receiving end of a transmission line becomes higher than at the sending end, especially when the line is lightly loaded or not loaded at all. Understanding its causes and consequences is crucial, as it can impact main power system parameters. This article provides an overview, highlighting the key factors involved and describing how the effect influences system stability. Engineers must analyze which design aspects contribute to this behavior to maintain efficiency and control over voltage levels.

What is the Ferranti effect?

The Ferranti effect is an interesting behavior seen in power distribution systems, where the voltage at the receiving end of a transmission line becomes higher than at the sending end, especially when there is no load or a very small load. This was first observed in 1887 during the installation of underground cables in Sebastian Ziani de Ferranti’s 10,000-volt electric system. The factor causing this rise is mainly due to the interaction between capacitance and inductance, which creates a voltage drop that is in phase with the supply. As a result, this effect becomes more pronounced as the length of the line increases, especially for lines longer than 200 km.

When an AC system operates under light load conditions, capacitive charging current flows along the transmission line, leading to a voltage boost at the end. This happens because the series capacitance and inductive current affect the overall impedance, making the load impedance appear lower than the source impedance. The system behaves similarly to an impedance transformer, though in an electrically short form, where the effect is like a quarter-wave transformer but with a smaller impact. The relative voltage rise is proportional to the square of both the frequency and the line length.

The Ferranti effect is particularly strong in underground cables due to their high capacitance per unit length and lower resistance, making it noticeable even over shorter distances. The presence of lagging current and elements like jXc in the circuit also contributes to the voltage gain. In an unterminated system, where the load impedance is not properly matched, the difference in Vsend and Vreceive increases. This effect must be carefully analyzed to prevent unexpected voltage surges in high-voltage networks.

Causes of the Ferranti effect

The Ferranti effect occurs primarily due to the high charging current caused by the capacitance of the transmission line. Key elements, like the load at the receiving end and the supply frequency, also contribute to this phenomenon. The transmission line capacitance plays a major role in influencing the current, and these combined factors lead to the voltage rise observed in the Ferranti effect.

Transmission Line Capacitance

The transmission line capacitance plays a key role in the Ferranti effect. As the length of the line increases, so does the capacitance, which leads to a rise in the charging current. This charging current causes reactive power to flow in the opposite direction of the source. Capacitors along the line increase this reactive power, while inductors consume it, causing a voltage drop. However, the sending voltage remains synchronized with the voltage drop, leading to an overall increase in the receiving voltage at the load end. The proximity of the transmission line components and the expansion of the system further contribute to the rise in voltage, which can affect the power system’s stability.

Load at the Receiving End

The load at the receiving end significantly impacts the Ferranti effect. Under no load conditions, the transmission line only receives a charging current, which is drawn by the shunt capacitors. This current generates reactive power, causing a voltage drop across the inductor that is in phase with the sending voltage and ultimately leads to a decrease in the receiving end voltage. When a light load is connected, the load current is very low compared to the charging current, which remains higher due to line capacitance. In this scenario, reactive power from the capacitor overpowers the reactive power consumed by the inductors, causing an increase in the receiving end voltage.

Under full load conditions, however, the load current exceeds the charging current drawn by the capacitors. Since a large load current flows through the series inductors, the reactive power consumed by the inductors becomes greater than the reactive power produced by the capacitors. As a result, the net reactive power becomes negative, and the receiving end voltage decreases. This shift highlights how different load conditions—no load, light load, or full load—affect voltage regulation and the Ferranti effect in power systems.

Supply Frequency

The Ferranti effect occurs due to reactive power produced by the shunt capacitance in electrical cables. However, for this effect to happen, there needs to be a certain frequency in the system. Since DC (direct current) has zero frequency, it doesn’t result in the Ferranti effect. This effect is more prominent in transmission lines that operate at a high frequency, where the supply voltage and current interact to generate the reactive power, increasing the voltage at the receiving end.

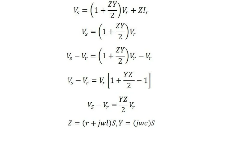
Detailed explanation of the Ferranti effect by considering a nominal pi (π) model

Ferranti Effect

In a long transmission line, the Ferranti effect causes the receiving end voltage (Vr) to be greater than the sending end voltage (Vs) under no-load conditions.

Ferranti effect

This happens because the capacitor at the end of the line stores energy, creating a voltage drop along the resistance (R) and inductance (X). The phases of these components can be seen in the phasor diagram, where OE represents the voltage at the receiving end, while OG represents the sending end voltage.

Ferranti effect

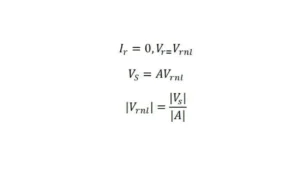
Since the system follows a nominal pi (π) model, the effect becomes more predominant as the line length increases. The parameter A is usually less than unity, and it continues to decrease as the line grows longer, making the voltage difference even more noticeable.

Ferranti effect

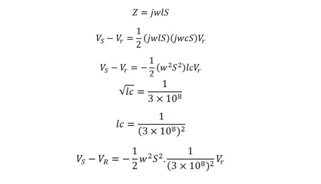
The propagation of electromagnetic waves along overhead lines follows the equation 1/√(lc), where the wave velocity reaches approximately 3 × 10^8 m/s.

Ferranti effect

If the line resistance is neglected, and Ir = 0, the voltage at the receiving end will continue to rise, leading to Vr > VS. This effect depends on key factors like frequency and the general electrical properties of the line. Since OH represents the current through the capacitor, its impact on the system must be carefully analyzed to maintain stability and avoid excessive voltage buildup.

Reducing the Ferranti effect

To reduce the Ferranti effect, one of the most effective methods is using shunt reactors at the receiving end of the lines. These reactors help compensate for the capacitive current generated by long transmission lines. When no load or a low load is present, the receiving end voltage tends to increase, which can cause damage to electrical devices like equipment and windings if the voltage exceeds the prescribed limits. The shunt reactors act as an inductive current element connected between the line and neutral, ensuring that the voltage is regulated and kept within safe levels. This approach prevents high voltage from causing damage or burning the windings of equipment at the user ends.

Benefits of the Ferranti Effect

The Ferranti effect can have significant advantages in electrical transmission systems, especially when managing voltage at the receiving end. It improves voltage regulation by creating a voltage drop that helps to balance power in long transmission lines, especially when the load is low. By compensating for the capacitive current, the effect reduces resistive losses such as copper and I²R losses, which helps to avoid unnecessary heat generation.

The capacitive and inductive elements work together to reduce impact and manage the current more efficiently. As power flows through the line, the Ferranti effect contributes to a more stable and efficient system by balancing the phase and improving the overall power factor. It helps to ensure net power efficiency, contributing to better voltage regulation and system reliability.

Disadvantages of the Ferranti Effect

The Ferranti effect can lead to overvoltage at the load end of a transmission line, which is harmful as it can cause damage to the gear and protection systems designed to operate at a nominal voltage. The charging current consumes a significant portion of the ampacity of the line conductor, which results in a reduction in efficiency. As a result, it can reduce the lifetime of the equipment and negatively affect the overall voltage regulation. The sending voltage might be lower than expected, while the voltage at the load end rises above normal, causing overvoltage and further reducing the system’s efficiency.

Conclusion

The Ferranti effect plays a crucial role in power systems, particularly when it comes to voltage regulation and reactive power management. It is essential for power engineers and system operators to understand this effect, especially in long transmission lines where voltage rise can occur. By properly managing this effect, network stability can be enhanced, ensuring reliable and efficient electrical systems. Voltage control methods like series compensation and shunt reactors can help maintain voltage levels within safe limits, balancing the performance of the system and reducing the negative effects on equipment.

However, challenges arise when the Ferranti effect leads to increased equipment stress or instability under dynamic conditions. Managing this impact requires flexible and efficient methods to ensure the system’s reliability. By using advanced control devices and reactive power management, power systems can be made more adaptable and durable, minimizing issues like voltage rise and enhancing overall transmission efficiency. It is crucial to balance the difficulties of the Ferranti effect while leveraging its advantages for long transmission lines and improved power performance.

Leave a Comment

Your email address will not be published. Required fields are marked *

Scroll to Top